利来w66

欢迎您来到【河南利来w66窑炉耐火材料有限公司】_官方网站!

河南利来w66窑炉耐火材料有限公司

专注耐火材料研发、生产15集研发、生产、销售为一体的耐火材料生产厂家
全国服务热线
136-7371-1977
公司新闻 NEWS
热门排行榜 HOT
联系方式 CONTACT US
常见问题
所在位置: 首页 > 公司新闻 > 常见问题
编辑:admin   分类:常见问题   发布:2022-11-29 18:58:41   浏览:次

Al2O3-SiC-C(ASC)浇注料因具有优良的抗侵蚀性和抗热震性而被用于高炉出铁沟和支沟等[1,2,3]。但是ASC浇注料内部的Si CC极容易被氧化,致使浇注料在使用过程中抗热震性降低,从而降低其使用寿命[4,5]。传统的铁沟浇注料是引入Si粉作为抗氧化剂以此来提高抗氧化性,进而延长其寿命。然而,添加抗氧化剂Si粉不但提高了实际生产成本,而且Si粉的生产过程能耗严重[6,7]。利来w66前期的研究发现,采用少量的红柱石微粉替代棕刚玉细粉可以显著提高ASC浇注料的抗氧化性[8]。这是由于红柱石微粉在煅烧过程中生成富硅玻璃相填充堵塞气孔,提高了浇注料的致密性,阻碍了氧气在浇注料内部的渗透扩散,从而提高抗氧化性。如果加入红柱石微粉在高温下莫来石化产生的富硅玻璃有利提高ASC浇注料的抗氧化性,那么在减少抗氧化剂Si粉的含量时,浇注料也应该有比较好的抗氧化性能,因此研究加入较少的抗氧化剂Si粉可以进一步揭示对红柱石微粉对ASC浇注料的抗氧化性的影响机制。同时,红柱石是一种应用广泛、储量丰富的天然耐火材料矿物[9,10,11,12,13],将其微粉引入ASC浇注料中并降低抗氧化剂Si粉的添加量将有利降低浇注料成本。

1 试验

1.1 原料及试验方案

试验原材料有:w(Al2O3)≥95%的棕刚玉骨料和细粉、w(Al2O3)≥59%的红柱石微粉(≤0.005 mm)、w(C)≥56%的球状沥青、w(SiC)≥97%的碳化硅颗粒和细粉、w(Al2O3)≥95%α-Al2O3微粉、Si O2微粉、铝酸钙水泥(Secar 71)、w(Si)≥98%Si粉、w(Al)≥99%的金属铝粉。
ASC浇注料的配比见表1。本试验选用红柱石微粉代替棕刚玉细粉,含红柱石和不含红柱石的浇注料分别记为B系列和M系列。Si粉加入量为00.5%1.0%1.5%时,不含红柱石的试样分别记为M1M2M3M4,含有红柱石的试样分别记为B1B2B3B4。按表1称好的原料先在搅拌机中干混1 min,再引入占干料质量(w)5%的水,湿混2 min。在三联模中振动成型为160 mm×40 mm×40 mm的试样,室温下先养护24 h后脱模,再于110℃下干燥24 h后于1 450℃保温3 h热处理[2,14]ASC基质试样的的配比见表2。本试验选用红柱石微粉代替棕刚玉细粉,含红柱石和不含红柱石的基质试样分别记为B系列和M系列。Si粉加入量为04%7%10%时,不含红柱石试样分别标记为M1M2M3M4,含有红柱石试样分别标记为B1B2B3B4。按表1称好的原料先干混1 min,再引入水(水灰比为1:1),湿混2 min[15]。室温下养护24 h后脱模,再于110℃下干燥24 h后于1 450℃保温3 h热处理。
1 ASC浇注料的配比  
图片
2 ASC基质试样的配比  
图片

1.2 性能检测

按照GB/T 2997—2000检测试样的显气孔率,按照GB/T 5988—2007检测试样的烧后线变化,按照GB/T 3001—2007检测试样的常温抗折强度,按GB/T 3002—2004检测烧后试样在1450℃保温3 h的高温抗折强度。
YB/T 3761—19951 450℃烧后试样的抗热震性(风冷10次,950℃保温0.5 h),以常温抗折强度保持率表示。此外,通过Adobe photoshop 2020的像素计数方法测量热震后试样的氧化指数(%)(氧化面积与总截面面积的比率),以表征试样的抗氧化性。采用德国Zeiss场发射扫描电子显微镜观察浇注料试样断面氧化层的显微结构。采用X射线衍射仪分析基质试样的物相组成。

2 结果与分析

2.1 抗氧化性

试样在1 450℃煅烧之后及进行抗热震测试10次之后的ASC浇注料的截面照片和氧化指数分别见图1和图2。图1中黑色的区域表示未氧化的含碳层,灰色的区域表示氧化层。可见,不含红柱石的M系列和含红柱石的B系列,随着Si粉含量的增加,试样氧化层的面积逐渐减小,说明Si粉越多,抗氧化性越好。
2中的氧化指数也印证了这一点。含红柱石的B系列的氧化层面积总是小于相同Si粉含量的不含红柱石的M系列,且试样B2的氧化指数小于试样M4的,说明引入适量的红柱石微粉,即使低Si含量时浇注料也可以很好地提高浇注料的抗氧化性。
图片
1 1 450℃煅烧后及热震10次后的浇注料试样的横截面图   
图片
2 1 450℃煅烧后及热震10次后的ASC浇注料试样的氧化指数 

2.2 物相分析

3为烧后基质试样的XRD图谱。因为浇注料中的红柱石微粉含量很少,在浇注料的XRD中很难看出红柱石微粉对其影响,所以实验制作了浇注料所对应比例的基质试样,用来表现浇注料中红柱石微粉的影响。从图3可知,M系列和B系列的基质试样的物相主要为刚玉、钙长石和莫来石。在相同的Si粉加入量下,含红柱石的B系列试样中的莫来石的峰明显高于不含红柱石的M系列。这是因为在1 450℃下保温3 h后红柱石微粉已经完全莫来石化,并且转化生成的部分富硅玻璃相与基质中的Al2O3反应生成二次莫来石[2,8,15,16]。从而使得含红柱石的B系列试样中的莫来石的含量高于不含红柱石的M系列。
图片
3 1 450℃煅烧后基质试样的X射线衍射图谱 

2.3 常温物理性能和显微结构分析

1 450℃烧后试样的常温物理性能见图4。由图4可看出:在相同的Si粉加入量下,含红柱石的B系列试样的显气孔率、线变化率低于不含红柱石的M系列,其常温抗折强度高于M系列的。因为加入的红柱石微粉在煅烧后已经完全莫来石化(见图3),相比于棕刚玉细粉,产生了大量的富硅玻璃相,更加均匀地分布在浇注料中,使得浇注料中基质和骨料的结合程度增加,堵塞部分气孔,从而促进烧结。这一点也可从含1.5%(w)Si粉的试样M4B41 450℃烧后的SEM照片(见图5)中互为印证。因此,抗氧化性也得到了明显改善。红柱石微粉莫来石化产生的部分富硅玻璃相与Al2O3反应生成二次莫来石,所以B系列试样的抗折强度高于M系列。
图片
4 1 450℃烧后试样的常温物理性能  
图片
5 1 450℃烧后基质试样的SEM照片 
由图4还可看出,随Si粉添加量的增加,M系列试样的显气孔率逐渐降低,B系列试样的显气孔率先降低,再增加甚微,在Si粉加入0.5%(w)时最小;M系列和B系列试样的线变化率和常温抗折强度随Si粉加入量增加而逐渐增加。因为Si粉被氧化后会生成一定量的Si O2液相[17],促进烧结并堵塞部分气孔。

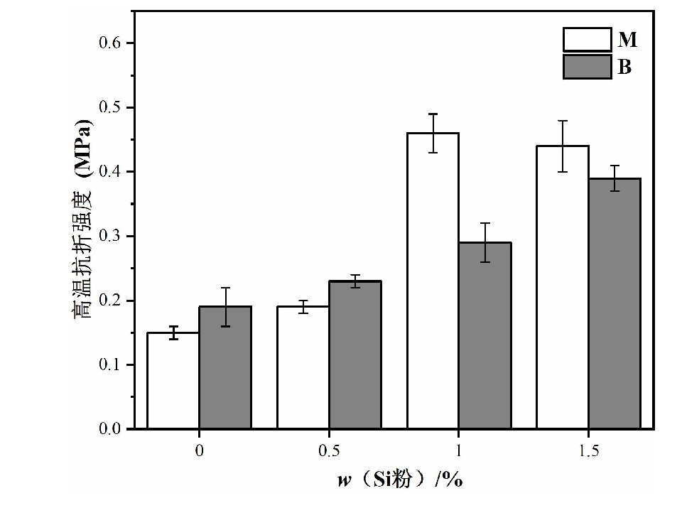
2.4 高温抗折强度

1 450℃烧后试样的高温抗折强度见图6。随Si粉添加量的增加,试样的高温抗折强度升高,当w(Si粉)≤0.5%时,含红柱石的B系列试样的高温抗折强度高于M系列的。当w(Si粉)为1.0%1.5%时,B系列的高温抗折强度反而明显低于M系列的。说明当Si粉加入量少时,红柱石带来的二次莫来石化占主导,使得高温抗折强度提高。但是Si粉添加超过0.5%(w),红柱石产生的大量富硅玻璃相和Si粉被氧化后生成的液相占主导,使得B系列试样的高温抗折强度明显低于M系列。这也说明加入适量的红柱石微粉在降低金属硅含量的情况下,不仅不降低浇注料的抗氧化性,而且对其高温抗折强度也有积极影响。
图片
烧后在1450℃ASC浇注料试样的高温抗折强度  

2.5 抗热震性

试样在950℃下热震10次后的抗折强度保持率见图7。可见,随着Si粉添加量的增加,常温抗折强度增加(见图4(c)),抗热震性改善。当w(Si粉)=1.5%时,含红柱石微粉的B系列的抗折保持率要远高于不含红柱石微粉的M系列,因为浇注料的抗氧化性有明显提高的同时,更多的Si CC被保留下来(见图1),因此浇注料的抗热震性能,随着抗氧化性能的提高而改善[2,8]。不仅如此红柱石微粉所产生的富硅玻璃相和二次莫来石(见图3),可以吸收部分的热应力提高韧性[18],进而提高了抗热震性。
图片
7 1 450℃煅烧后浇注料经950℃风冷10次的抗折强度保持率 

3 结论

将红柱石微粉引入浇注料中可以适量减少抗氧化剂Si粉的掺量而不降低其抗氧化性。这是因为红柱石微粉莫来石化产生了大量的富硅玻璃相,填充和堵塞了浇注料的部分气孔以阻碍氧气的扩散反应。而且红柱石微粉产生的部分富硅玻璃相还会与刚玉生成二次莫来石促进了基质和骨料的结合,提高了浇注料的致密程度。因此,将红柱石微粉引入浇注料中,可以适量减少抗氧化剂的掺量。这不仅不会降低浇注料的抗氧化性,还会使其常温抗折强度、高温抗折强度和抗热震性能也得到相应的改善。